Please visit our web site

D.Frolov, S.Bagdonas, R.Rotomskis
Laser Research Centre, Vilnius University, Sauletekio 9, 2040 Vilnius Lithuania

but.gif (302 bytes)

logo

V.Gulbinas
Institute of Physics, A. Gostauto 12, 2600 Vilnius, Lithuania

Title

Materials and Methods

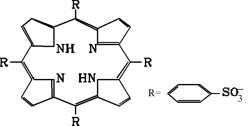
Meso-tetra(4-sulfonathophenyl)porphine (TPPS4) was obtained from Porphyrins Products, Inc. (Utah, USA). This compound (Fig.1) is a substituted porphyrin-type molecule with four meso-phenyl rings containing SO3- groups in para- position. The orientation of phenyl rings depends on solution pH: in neutral and alkaline solution they are almost perpendicular relatively to porphyrin macrocycle, while in acidic solution they are almost parallel (the macrocycle and phenyl rings lay in one plane) [4].

Fig.1

Fig.1 The structure of meso-tetra(4-sulphonatophenyl)porphine (TPPS4)

The J-aggregates of TPPS4 were obtained after dissolving it in 0.1 N HCl. Glass cuvettes of pathway 1 mm were used for the measurements.

The system employed for the kinetic measurements is based on the picosecond Nd3+:Glass laser emitting light pulses with duration of 2 ps, which were achieved by passive mode synchronization and the subsequent compression of pulses on the gratings. Every light pulse has been subsequently split into two separate pulses. One of those pulses passed a crystal producing the second harmonics radiation, which was used for excitation of samples (l ex=527 nm). The second pulse passing the cuvette filled up with heavy water generated continuum. The obtained continuum (in the range from 450 nm to 750 nm) was subsequently used for the probing of samples. The energy of the excitation pulse was on the average about 70÷100 m J.

The absorption difference spectra were registered under excitation at 527 nm with 2 ps pulses. In this spectral region the absorption of J-aggregates is sufficiently low to get equal distribution of excitation energy through the whole sample.

Previous

To the Top

Next

Atomic Force Microscopy ...

Investigatin of protonation ...

X ray difraction ...